Официальное опубликование правовых актов
ОФИЦИАЛЬНОЕ ОПУБЛИКОВАНИЕ
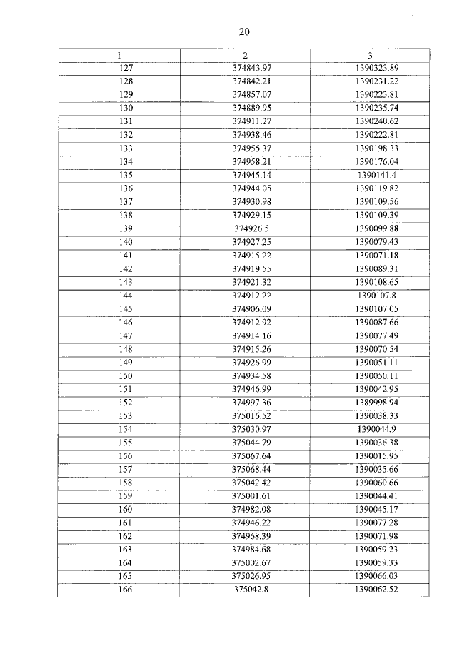
Приказ министерства природных ресурсов Краснодарского края от 12.10.2021 № 1593
"О внесении изменений в приказ министерства природных ресурсов Краснодарского края от 23 мая 2018 г. № 771 "Об установлении границ лесопарковых зеленых поясов города Новороссийска, поселка городского типа Мостовской Мостовского района, города Туапсе Туапсинского района, города Краснодара"
Номер опубликования: 2301202110190001
Дата опубликования: 19.10.2021
Страница №21 из 24:
Увеличить