Официальное опубликование правовых актов
ОФИЦИАЛЬНОЕ ОПУБЛИКОВАНИЕ
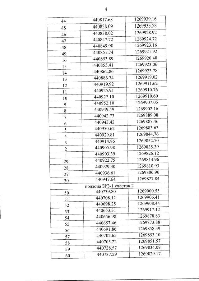
Приказ администрации Краснодарского края от 18.08.2021 № 572-КН
"Об утверждении зон охраны, режимов использования земель и требований к градостроительным регламентам в границах территорий данных зон объекта культурного наследия регионального значения "Главный корпус завода столовых вин удельного имения Абрау-Дюрсо", 1907 г., Краснодарский край, город Новороссийск, пгт. Абрау-Дюрсо, ул. Промышленная, 13, лит. А"
Номер опубликования: 2301202108250006
Дата опубликования: 25.08.2021
Страница №6 из 15:
Увеличить