Официальное опубликование правовых актов
ОФИЦИАЛЬНОЕ ОПУБЛИКОВАНИЕ
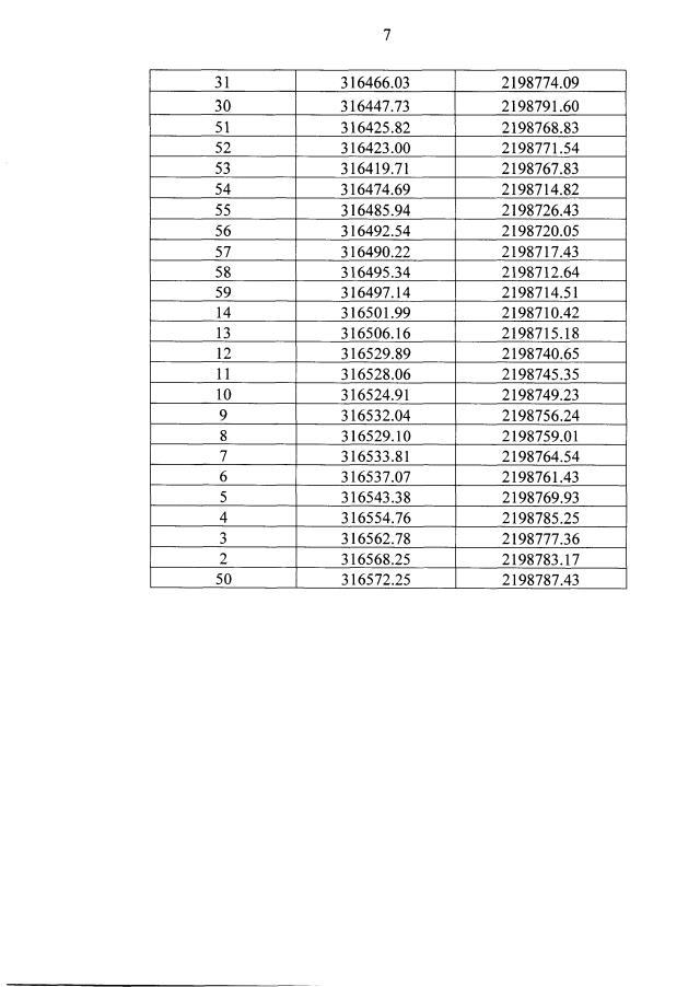
Приказ администрации Краснодарского края от 05.08.2021 № 535-КН
"Об установлении зон охраны, утверждении режимов использования земель и требований к градостроительным регламентам в границах территорий данных зон объекта культурного наследия федерального значения "Дом уполномоченного ВЦИК", 1935-1936 гг., Краснодарский край, г. Сочи, Курортный проспект, 51"
Номер опубликования: 2301202108120003
Дата опубликования: 12.08.2021
Страница №9 из 22:
Увеличить