Официальное опубликование правовых актов
ОФИЦИАЛЬНОЕ ОПУБЛИКОВАНИЕ
Приказ администрации Краснодарского края от 17.06.2021 № 396-КН
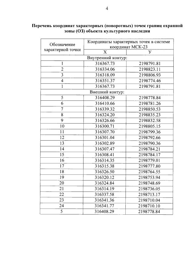
"Об установлении зон охраны, утверждении режимов использования земель и требований к градостроительным регламентам в границах территорий данных зон объекта культурного наследия регионального значения "Здание реального училища", начало XX в., Краснодарский край, г. Сочи, Центральный район, ул. Орджоникидзе, 25"
Номер опубликования: 2301202106240013
Дата опубликования: 24.06.2021
Страница №6 из 14:
Увеличить