Официальное опубликование правовых актов
ОФИЦИАЛЬНОЕ ОПУБЛИКОВАНИЕ
Приказ администрации Краснодарского края от 16.06.2021 № 391-КН
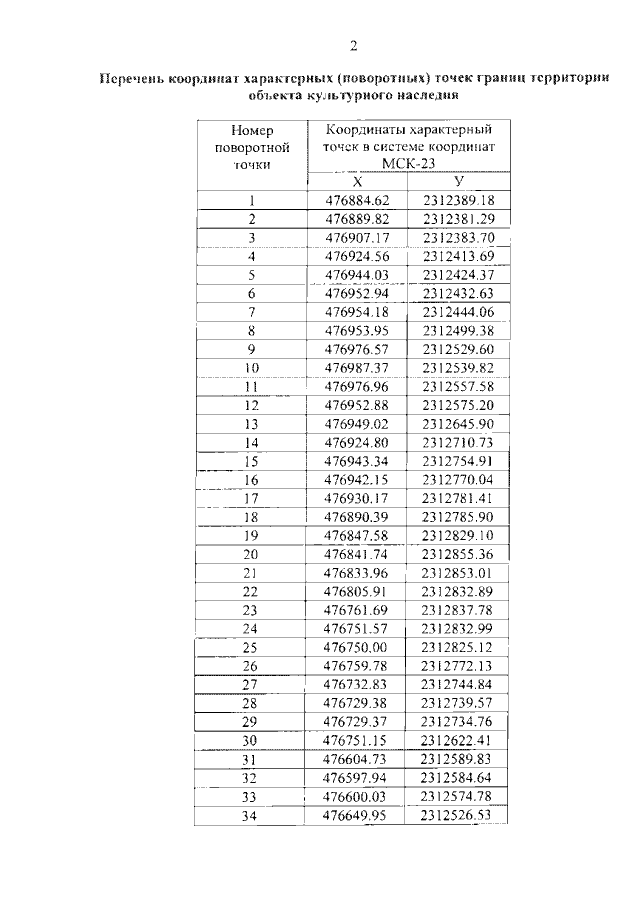
"Об утверждении границ и режима использования территории объекта культурного наследия федерального значения "Остатки укреплений земляной крепости "Прочный окоп", связанных со службой на Кавказе Суворова Александра Васильевича, Ермолова Алексея Петровича, Пирогова Николая Игнатовича и пребыванием в ссылке многих декабристов и солдат-участников восстания 1825 г.", 1784 г. - 3-я четверть XIX в., Краснодарский край, Новокубанский район, станица Прочноокопская"
Номер опубликования: 2301202106230010
Дата опубликования: 23.06.2021
Страница №4 из 6:
Увеличить