Официальное опубликование правовых актов
ОФИЦИАЛЬНОЕ ОПУБЛИКОВАНИЕ
Приказ администрации Краснодарского края от 16.06.2021 № 388-КН
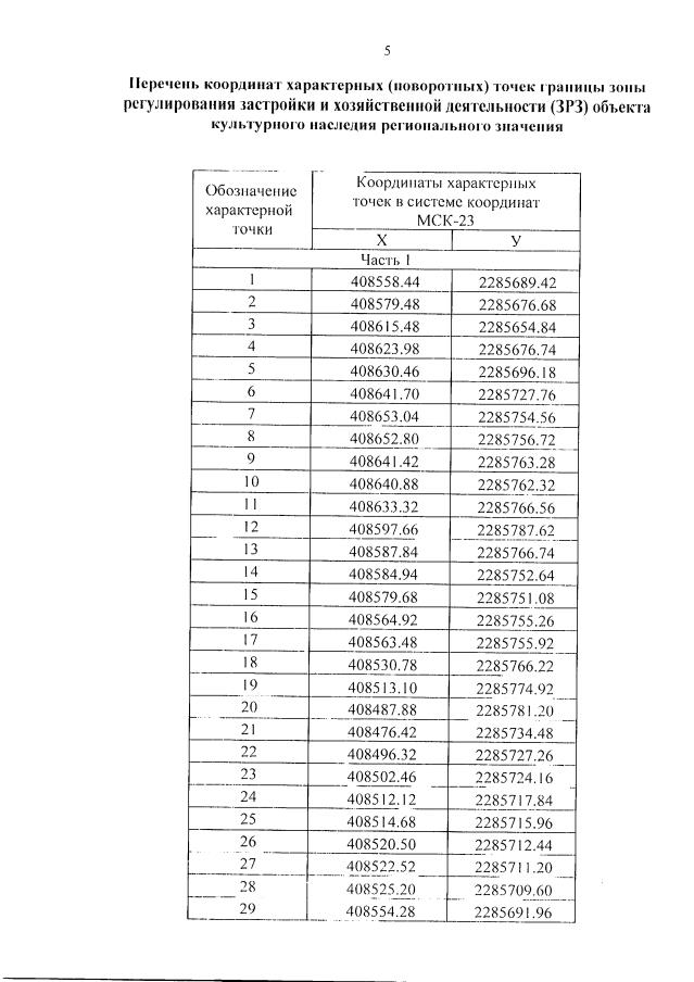
"Об утверждении границ и режима использовании территории, а также зон охраны, режимов использования земель и требований к градостроительным регламентам в границах территорий данных зон объекта культурного наследия регионального значения "Здание, где состоялось первое организационное собрание мостовских комсомольцев", 1922 г., Краснодарский край, Мостовский район, пгт. Мостовской, ул. Советская, 12"
Номер опубликования: 2301202106230006
Дата опубликования: 23.06.2021
Страница №11 из 18:
Увеличить