Официальное опубликование правовых актов
ОФИЦИАЛЬНОЕ ОПУБЛИКОВАНИЕ
Приказ администрации Краснодарского края от 04.06.2021 № 360-КН
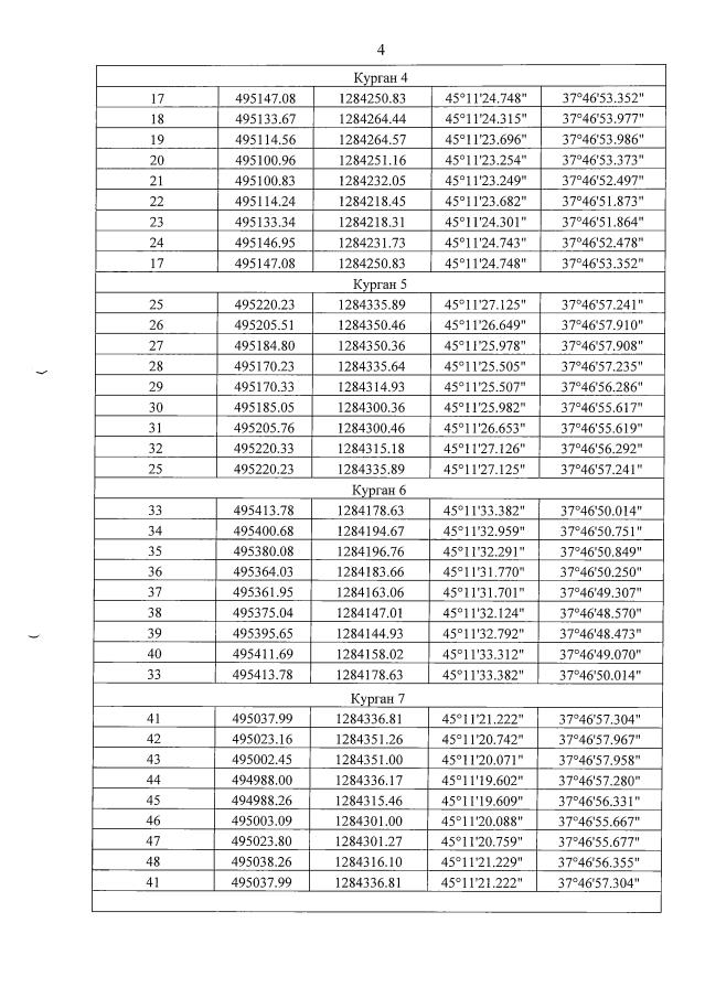
"Об утверждении границ и режима использования территории выявленного объекта культурного наследия "Курганная группа (31)", 3 тыс. до н.э. - 15 в. н.э., Краснодарский край, Славянский район, ст-ца Анастасиевская, 6,0 км к западу-юго-западу от юго-западной окраины станицы, 1,6 км к востоку-юго-востоку от узла нефтедобычи "Групповая № 2"
Номер опубликования: 2301202106110008
Дата опубликования: 11.06.2021
Страница №6 из 8:
Увеличить