Официальное опубликование правовых актов
ОФИЦИАЛЬНОЕ ОПУБЛИКОВАНИЕ
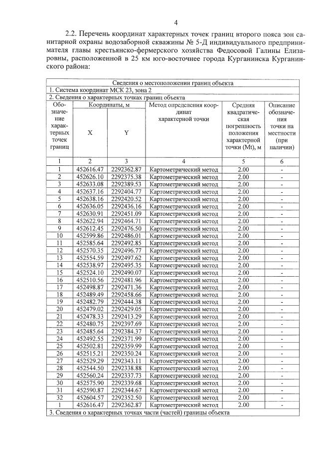
Приказ министерства природных ресурсов Краснодарского края от 21.05.2021 № 727
"Об установлении зон санитарной охраны источника питьевого и хозяйственно-бытового водоснабжения индивидуального предпринимателя главы крестьянско-фермерского хозяйства Федосовой Галины Елизаровны в муниципальном образовании Курганинский район"
Номер опубликования: 2301202105280003
Дата опубликования: 28.05.2021
Страница №6 из 12:
Увеличить