Приказ администрации Краснодарского края от 18.05.2021 № 267-КН
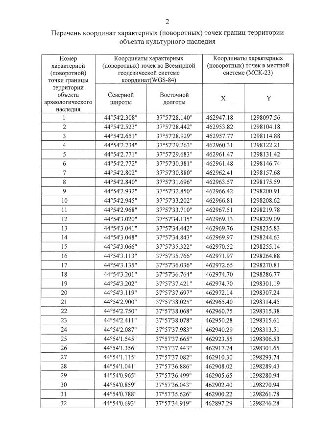
"Об утверждении границ и режима использования территории выявленного объекта культурного наследия "Поселение "Крымское 6", Краснодарский край, Крымский район, расположено в 300 м к северо-западу от северо-западной окраины г. Крымск от ул. Луначарского"
"Об утверждении границ и режима использования территории выявленного объекта культурного наследия "Поселение "Крымское 6", Краснодарский край, Крымский район, расположено в 300 м к северо-западу от северо-западной окраины г. Крымск от ул. Луначарского"
Номер опубликования: 2301202105240032
Дата опубликования:
24.05.2021
