Официальное опубликование правовых актов
ОФИЦИАЛЬНОЕ ОПУБЛИКОВАНИЕ
Приказ администрации Краснодарского края от 13.05.2021 № 249-КН
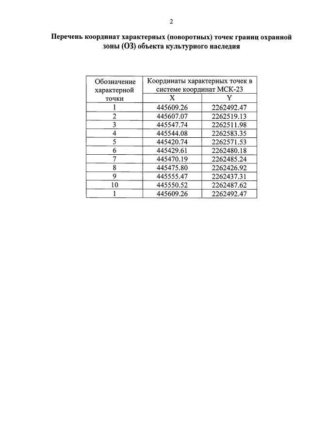
"Об утверждении границ и режима использования территории, а также зон охраны, режимов использования земель и требований к градостроительным регламентам в границах территорий данных зон объекта культурного наследия регионального значения "Здание, где в селе Унароково была провозглашена Советская власть", 1918 г., Краснодарский край, Мостовский район, с. Унароково, ул. Ленина, 27"
Номер опубликования: 2301202105200003
Дата опубликования: 20.05.2021
Страница №8 из 16:
Увеличить