Официальное опубликование правовых актов
ОФИЦИАЛЬНОЕ ОПУБЛИКОВАНИЕ
Приказ администрации Краснодарского края от 13.05.2021 № 248-КН
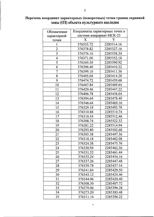
"Об утверждении границ и режима использования территории, а также зон охраны, режимов использования земель и требований к градостроительным регламентам в границах территорий данных зон объекта культурного наследия регионального значения "Святопреображенская церковь с интерьером", 1858 г., Краснодарский край, Мостовский район, пгт. Псебай, ул. Комсомольская, 9"
Номер опубликования: 2301202105200002
Дата опубликования: 20.05.2021
Страница №8 из 17:
Увеличить