Официальное опубликование правовых актов
ОФИЦИАЛЬНОЕ ОПУБЛИКОВАНИЕ
Приказ администрации Краснодарского края от 19.04.2021 № 180-КН
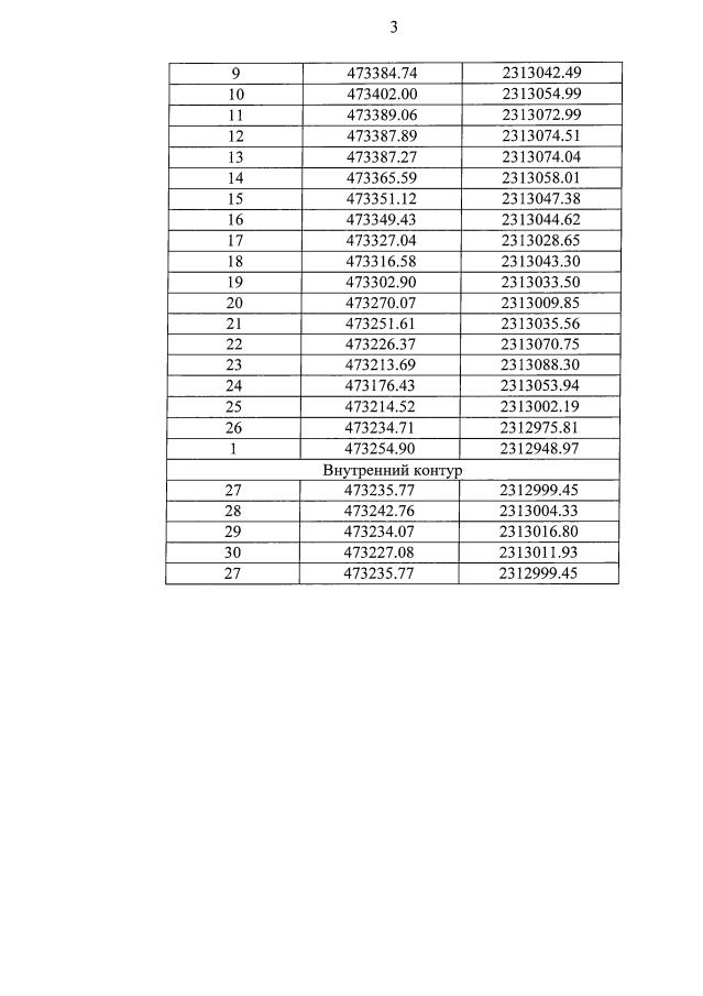
"Об утверждении границ и режима использования территории объектов культурного наследия регионального значения "Канцелярия управления атамана Лабинского отдела Кубанской области, где в 1918 году находился первый исполком Лабинского отдела Кубанской области", 1914 г., 1918 г., Краснодарский край, г. Армавир, ул. Пугачева, 7 - 9 и "Танк ИС-3, установленный в честь 40-летия Победы советского народа в Великой Отечественной войне", 1985 г., Краснодарский край, г. Армавир, площадь 40-летия Победы, а также установлении зон охраны, утверждении режимов использования земель и требований к градостроительным регламентам в границах территорий объекта культурного наследия регионального значения "Канцелярия управления атамана Лабинского отдела Кубанской области, где в 1918 году находился первый исполком Лабинского отдела Кубанской области", 1914 г., 1918 г., Краснодарский край, г. Армавир, ул. Пугачева, 7 - 9"
Номер опубликования: 2301202104260004
Дата опубликования: 26.04.2021
Страница №14 из 21:
Увеличить