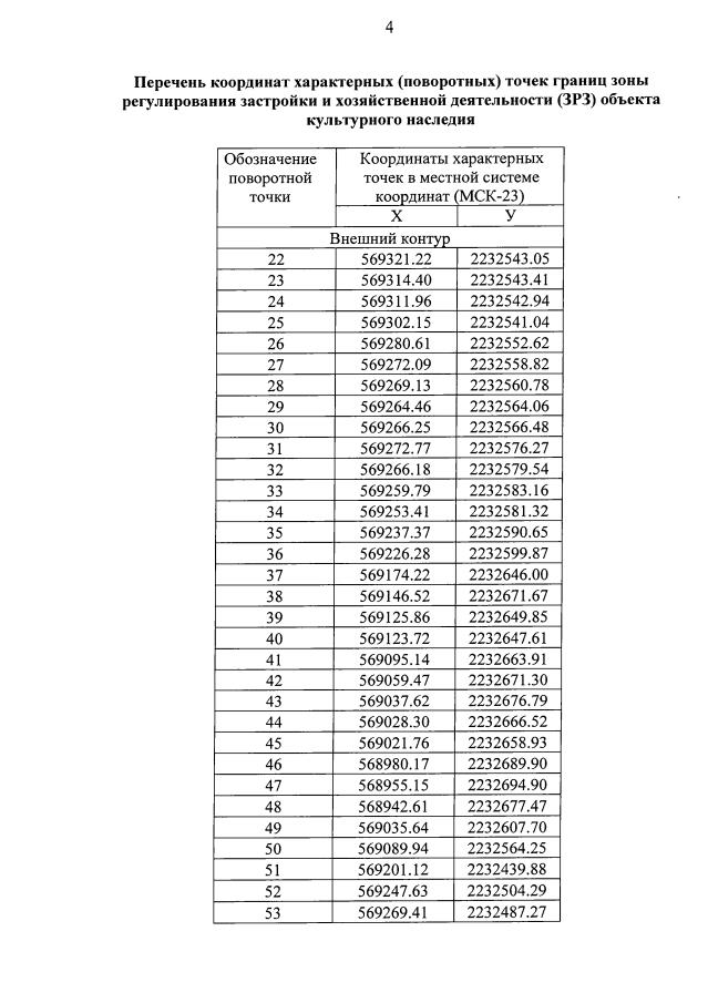
Приказ администрации Краснодарского края от 26.03.2021 № 142-КН
"Об утверждении границ и режима использования территории, а также установлении зон охраны, утверждении режимов использования земель и требований к градостроительным регламентам в границах территорий данных зон объекта культурного наследия регионального значения "Здание, где работал каменщиком революционер Ф.Е. Федосеев", 1910-1918 годы, Краснодарский край, Тихорецкий район, г. Тихорецк, ул. Путевая, 3"
"Об утверждении границ и режима использования территории, а также установлении зон охраны, утверждении режимов использования земель и требований к градостроительным регламентам в границах территорий данных зон объекта культурного наследия регионального значения "Здание, где работал каменщиком революционер Ф.Е. Федосеев", 1910-1918 годы, Краснодарский край, Тихорецкий район, г. Тихорецк, ул. Путевая, 3"
Номер опубликования: 2301202104020001
Дата опубликования:
02.04.2021
