Приказ администрации Краснодарского края от 25.03.2021 № 141-КН
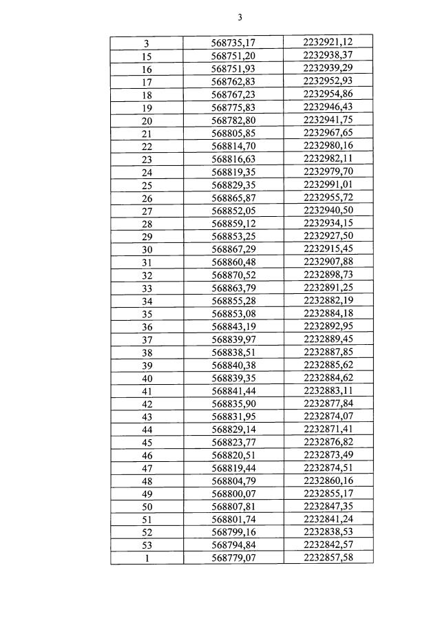
"Об утверждении границ и режима использования территории, а также зон охраны, режимов использования земель и требований к градостроительным регламентам в границах территорий данных зон объекта культурного наследия регионального значения "Вокзал железнодорожной станции "Тихорецкая" - один из первых вокзалов на Кубани. Здесь находился штаб революционных войск Северного Кавказа", 1886 г., 1918 г., Краснодарский край, Тихорецкий район, г. Тихорецк, железнодорожная станция "Тихорецкая", ул. Октябрьская, 1"
"Об утверждении границ и режима использования территории, а также зон охраны, режимов использования земель и требований к градостроительным регламентам в границах территорий данных зон объекта культурного наследия регионального значения "Вокзал железнодорожной станции "Тихорецкая" - один из первых вокзалов на Кубани. Здесь находился штаб революционных войск Северного Кавказа", 1886 г., 1918 г., Краснодарский край, Тихорецкий район, г. Тихорецк, железнодорожная станция "Тихорецкая", ул. Октябрьская, 1"
Номер опубликования: 2301202104010004
Дата опубликования:
01.04.2021
