Приказ администрации Краснодарского края от 24.03.2021 № 136-КН
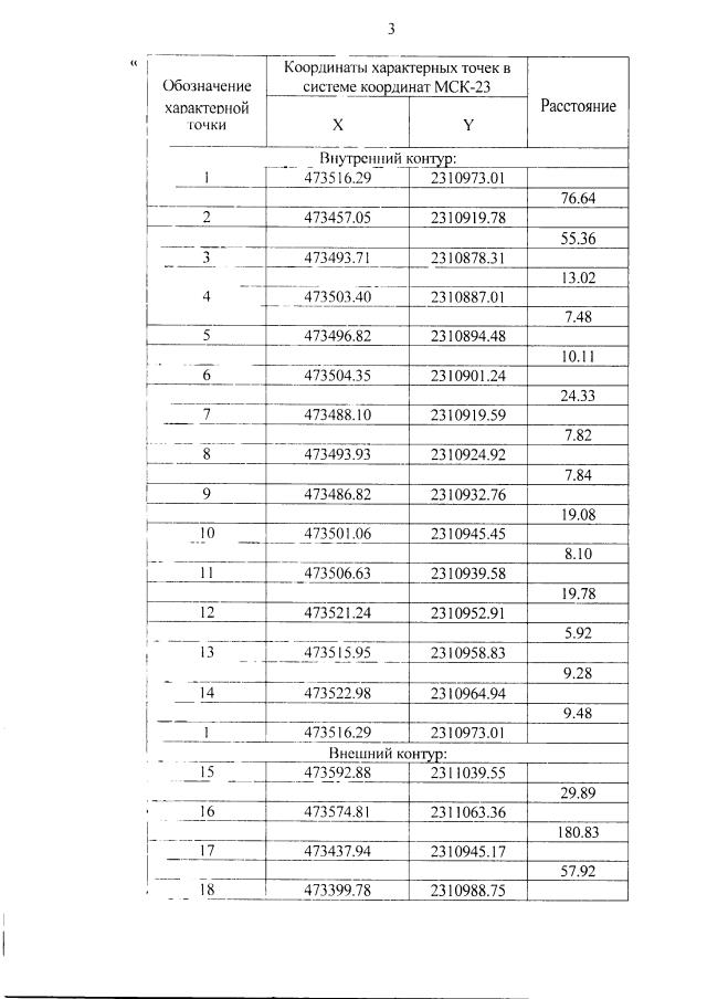
"О внесении изменений в приказ администрации Краснодарского края от 05 марта 2018 г. № 65-КН "Об утверждении предмета охраны, границ территории и зон охраны объекта культурного наследия регионального значения "Табачная фабрика К. Муратчаева и X. Назарова, где в период революционных событий в 1905 году рабочие впервые в селе Армавир объявили забастовку и устроили демонстрацию", 1890 г., 1905 г., расположенного по адресу: Краснодарский край, г. Армавир, угол ул. Тургенева, 81 и ул. Маркса, 94"
"О внесении изменений в приказ администрации Краснодарского края от 05 марта 2018 г. № 65-КН "Об утверждении предмета охраны, границ территории и зон охраны объекта культурного наследия регионального значения "Табачная фабрика К. Муратчаева и X. Назарова, где в период революционных событий в 1905 году рабочие впервые в селе Армавир объявили забастовку и устроили демонстрацию", 1890 г., 1905 г., расположенного по адресу: Краснодарский край, г. Армавир, угол ул. Тургенева, 81 и ул. Маркса, 94"
Номер опубликования: 2301202103310004
Дата опубликования:
31.03.2021
