Официальное опубликование правовых актов
ОФИЦИАЛЬНОЕ ОПУБЛИКОВАНИЕ
Приказ администрации Краснодарского края от 23.03.2021 № 133-КН
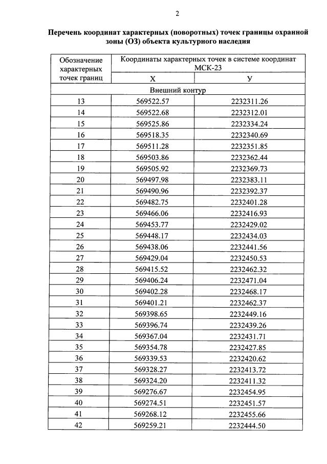
"Об утверждении границ и режима использования территории, а также зон охраны, режимов использования земель и требований к градостроительным регламентам в границах территорий данных зон объекта культурного наследия регионального значения "Здание, где работал машинистом председатель Тихорецкого Совета рабочих депутатов и забастовочного комитета в дни декабрьского вооруженного восстания в 1905 г. Л.И. Чернышев", 1900-1905 гг., г. Тихорецк, ул. Путевая, 21"
Номер опубликования: 2301202103300006
Дата опубликования: 30.03.2021
Страница №9 из 18:
Увеличить