Официальное опубликование правовых актов
ОФИЦИАЛЬНОЕ ОПУБЛИКОВАНИЕ
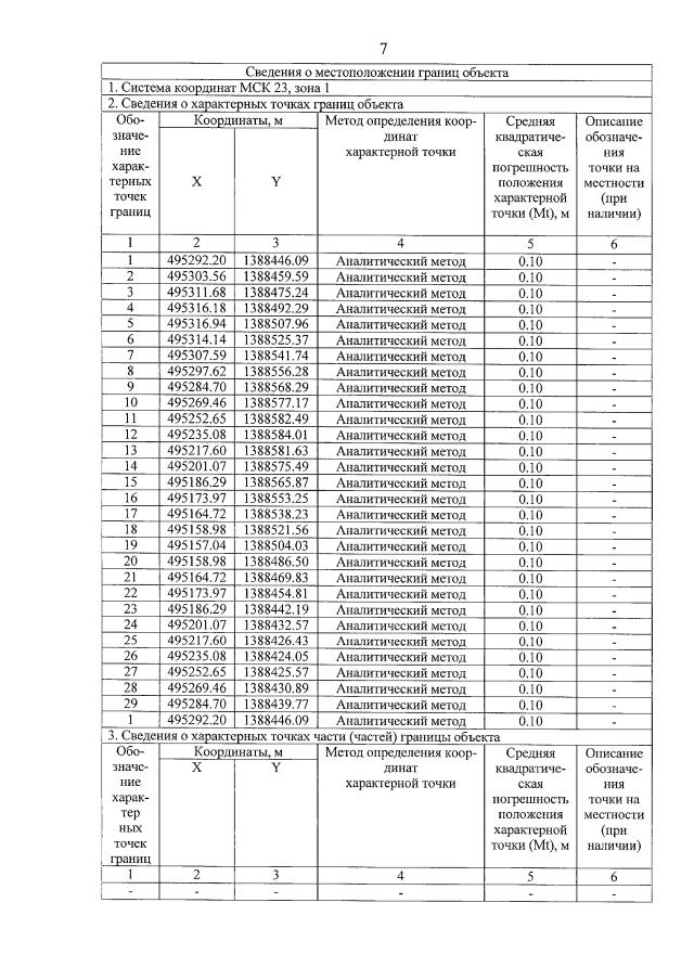
Приказ министерства природных ресурсов Краснодарского края от 12.02.2021 № 150
"Об установлении зон санитарной охраны источников питьевого и хозяйственно-бытового водоснабжения общества с ограниченной ответственностью "Адва" в муниципальном образовании город Краснодар"
Номер опубликования: 2301202102190001
Дата опубликования: 19.02.2021
Страница №9 из 20:
Увеличить