Официальное опубликование правовых актов
ОФИЦИАЛЬНОЕ ОПУБЛИКОВАНИЕ
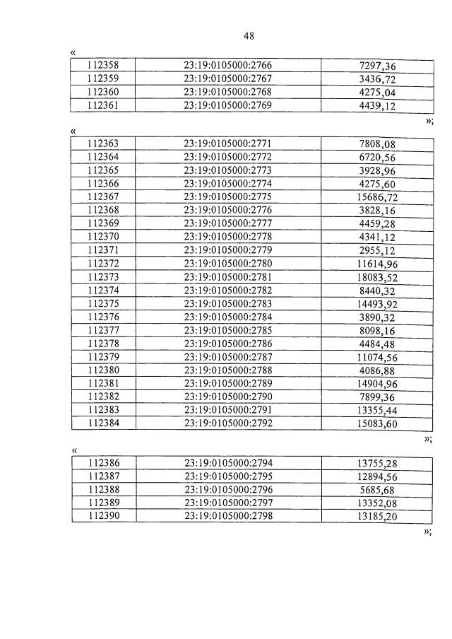
Приказ департамента имущественных отношений Краснодарского края от 01.02.2021 № 103
"О внесении изменений в приказ департамента имущественных отношений Краснодарского края от 4 октября 2019 г. № 2092 "Об утверждении результатов определения кадастровой стоимости земельных участков из состава земель сельскохозяйственного назначения на территории Краснодарского края"
Номер опубликования: 2301202102080003
Дата опубликования: 08.02.2021
Страница №50 из 61:
Увеличить