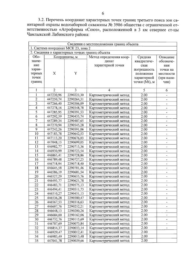
Приказ министерства природных ресурсов Краснодарского края от 18.01.2021 № 20
"Об установлении зон санитарной охраны источника питьевого и хозяйственно-бытового водоснабжения общества с ограниченной ответственностью "Агрофирма "Союз" в муниципальном образовании Лабинский район"
"Об установлении зон санитарной охраны источника питьевого и хозяйственно-бытового водоснабжения общества с ограниченной ответственностью "Агрофирма "Союз" в муниципальном образовании Лабинский район"
Номер опубликования: 2301202101250006
Дата опубликования:
25.01.2021
