Официальное опубликование правовых актов
ОФИЦИАЛЬНОЕ ОПУБЛИКОВАНИЕ
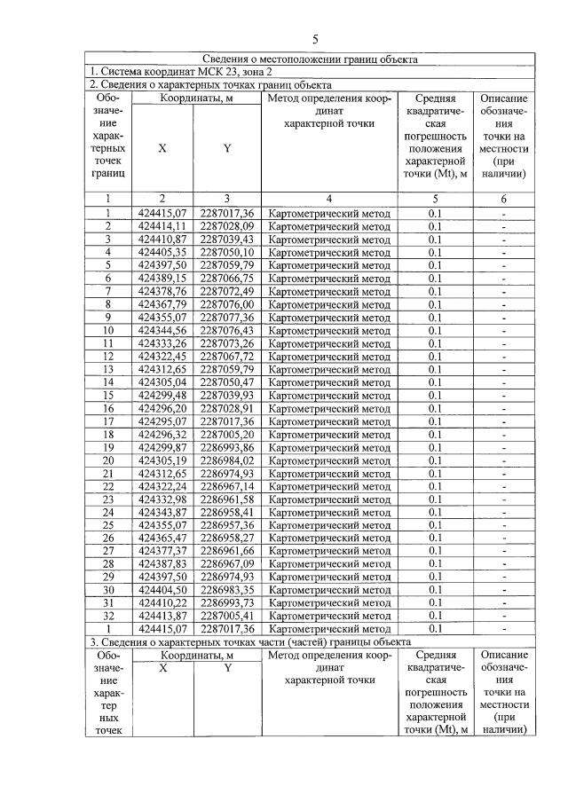
Приказ министерства природных ресурсов Краснодарского края от 18.01.2021 № 23
"Об установлении зон санитарной охраны источников питьевого и хозяйственно-бытового водоснабжения общества с ограниченной ответственностью "Агрофирма "Прогресс" в муниципальном образовании Лабинский район"
Номер опубликования: 2301202101250004
Дата опубликования: 25.01.2021
Страница №7 из 19:
Увеличить