Официальное опубликование правовых актов
ОФИЦИАЛЬНОЕ ОПУБЛИКОВАНИЕ
Приказ министерства природных ресурсов Краснодарского края от 18.01.2021 № 22
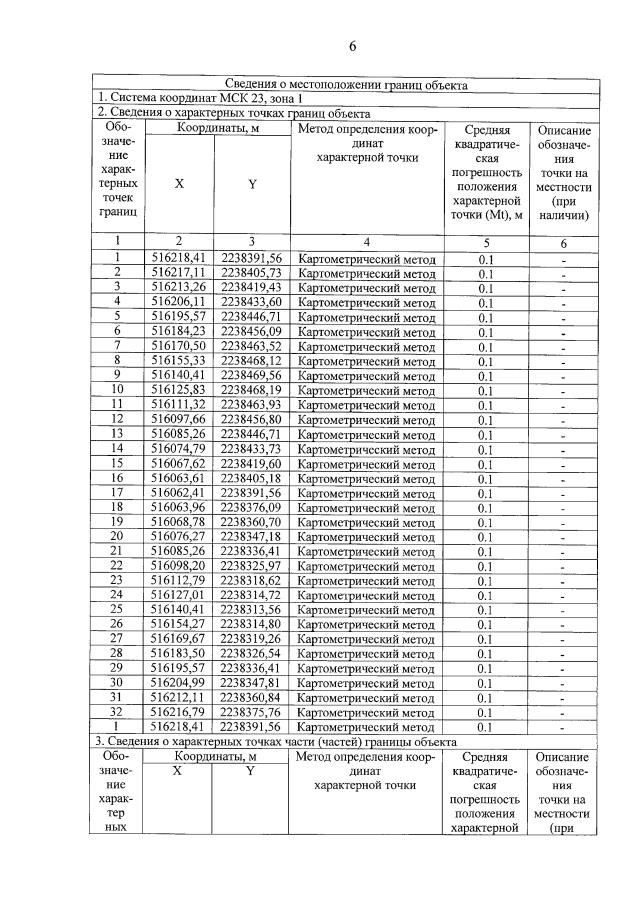
"Об установлении зон санитарной охраны источника питьевого и хозяйственно-бытового водоснабжения акционерного общества "Агропромхимия" в муниципальном образовании Тбилисский район"
Номер опубликования: 2301202101250003
Дата опубликования: 25.01.2021
Страница №8 из 11:
Увеличить