Официальное опубликование правовых актов
ОФИЦИАЛЬНОЕ ОПУБЛИКОВАНИЕ
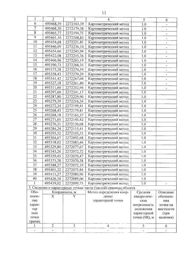
Приказ министерства природных ресурсов Краснодарского края от 09.12.2020 № 1831
"Об установлении зон санитарной охраны источников питьевого и хозяйственно-бытового водоснабжения акционерного общества "Колхоз "Прогресс" в муниципальном образовании Гулькевичский район"
Номер опубликования: 2301202012160005
Дата опубликования: 16.12.2020
Страница №13 из 33:
Увеличить