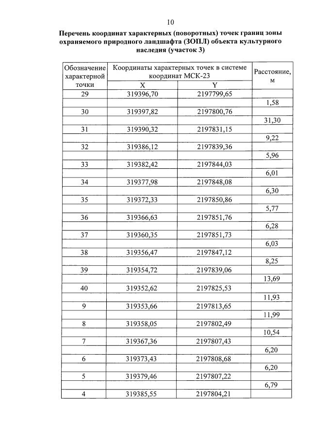
Приказ администрации Краснодарского края от 02.11.2020 № 731-КН
"О внесении изменений в приказ администрации Краснодарского края от 17 декабря 2019 г. № 226-кн "Об утверждении границ и режима использования территории, а также зон охраны, режимов использования земель и требований к градостроительным регламентам в границах территорий данных зон объекта культурного наследия регионального значения "Санаторий им. Кирова, где в годы Великой Отечественной войны размещались госпитали № 3206, 3183", 1941 - 1945 годы, Краснодарский край, г. Сочи, Центральный район, ул. Виноградная, 14 и признании утратившим силу приказа администрации Краснодарского края от 17 мая 2019 г. № 70-кн "Об утверждении границ и режима использования территории объекта культурного наследия регионального значения "Санаторий им. Кирова, где в годы Великой Отечественной войны размещались госпитали № 3206, 3183", 1941-1945 годы, Краснодарский край, г. Сочи, Центральный район, ул.Виноградная,14"
"О внесении изменений в приказ администрации Краснодарского края от 17 декабря 2019 г. № 226-кн "Об утверждении границ и режима использования территории, а также зон охраны, режимов использования земель и требований к градостроительным регламентам в границах территорий данных зон объекта культурного наследия регионального значения "Санаторий им. Кирова, где в годы Великой Отечественной войны размещались госпитали № 3206, 3183", 1941 - 1945 годы, Краснодарский край, г. Сочи, Центральный район, ул. Виноградная, 14 и признании утратившим силу приказа администрации Краснодарского края от 17 мая 2019 г. № 70-кн "Об утверждении границ и режима использования территории объекта культурного наследия регионального значения "Санаторий им. Кирова, где в годы Великой Отечественной войны размещались госпитали № 3206, 3183", 1941-1945 годы, Краснодарский край, г. Сочи, Центральный район, ул.Виноградная,14"
Номер опубликования: 2301202011100002
Дата опубликования:
10.11.2020
