Официальное опубликование правовых актов
ОФИЦИАЛЬНОЕ ОПУБЛИКОВАНИЕ
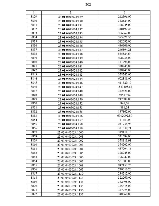
Приказ департамента имущественных отношений Краснодарского края от 05.10.2020 № 1882
"Об утверждении результатов определения кадастровой стоимости земельных участков из состава земель населенных пунктов на территории Краснодарского края"
Номер опубликования: 2301202010190006
Дата опубликования: 19.10.2020
Страница №204 из 49899:
Увеличить