Официальное опубликование правовых актов
ОФИЦИАЛЬНОЕ ОПУБЛИКОВАНИЕ
Приказ администрации Краснодарского края от 08.10.2020 № 630-КН
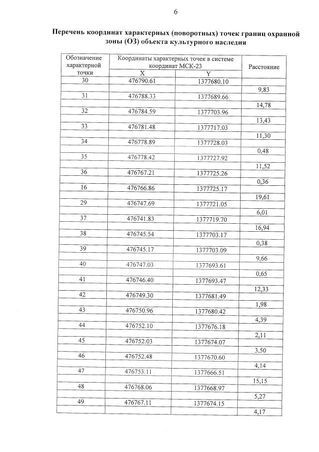
"Об утверждении зон охраны, режимов использования земель и требований к градостроительным регламентам в границах территорий данных зон объектов культурного наследия регионального значения, расположенных в г. Краснодаре, квартал № 38: "Усадьба купца В.С. Сокольского", 1900-1902 годы, Краснодарский край, г. Краснодар, угол ул. Комсомольской, 41 и ул. Рашпилевской, 18, лит. Д, Д1; "Дом нотариуса Е.Е. Никифораки. Здесь работал писатель Д.А. Фурманов", 1910 г.‚ 1920-1921 годы, Краснодарский край, г. Краснодар, ул. Комсомольская, 43, лит. А; "Дом генерала И.К. Назарова", 1886-1887годы, Краснодарский край, г. Краснодар, угол ул. Комсомольской, 47 и ул. Красной, 19, лит. Б; "Кубанское областное правление", 1882 г.‚ Краснодарский край, г. Краснодар, угол ул. Красной, 23 и ул. Мира, 40, лит. Г с пристройками; "Дом жилой с торговыми помещениями", 1932 г.‚ Краснодарский край, г. Краснодар, угол ул. Красной, 23 и ул. Мира, 40, лит. А; "Дом жилой с торговыми помещениями на первом этаже", 1908-1910 годы, Краснодарский край, г. Краснодар, угол ул. Мира, 38 и ул. Рашпилевской, 22, лит. А, с пристройками"
Номер опубликования: 2301202010140006
Дата опубликования: 14.10.2020
Страница №61 из 88:
Увеличить