Официальное опубликование правовых актов
ОФИЦИАЛЬНОЕ ОПУБЛИКОВАНИЕ
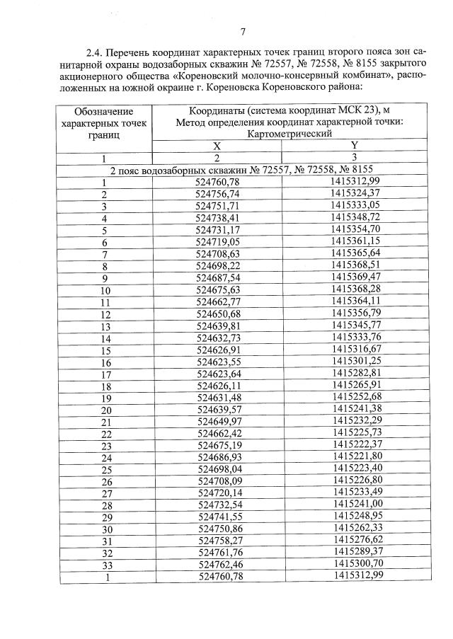
Приказ министерства природных ресурсов Краснодарского края от 08.09.2020 № 1303
"Об установлении и изменении зон санитарной охраны источников питьевого и хозяйственно-бытового водоснабжения закрытого акционерного общества "Кореновский молочно-консервный комбинат" в муниципальном образовании Кореновский район"
Номер опубликования: 2301202009140002
Дата опубликования: 14.09.2020
Страница №9 из 19:
Увеличить