Официальное опубликование правовых актов
ОФИЦИАЛЬНОЕ ОПУБЛИКОВАНИЕ
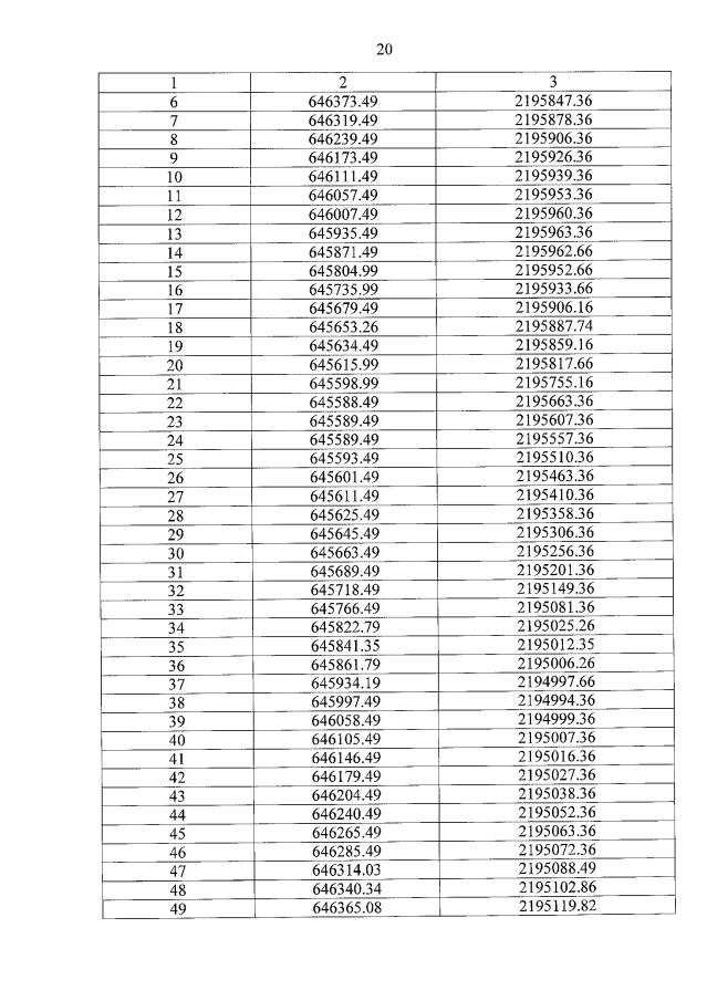
Приказ министерства природных ресурсов Краснодарского края от 14.07.2020 № 1028
"Об установлении зон санитарной охраны источников питьевого и хозяйственно-бытового водоснабжения общества с ограниченной ответственностью "ИВ-консалтинг" в муниципальном образовании Кущевский район"
Номер опубликования: 2301202007210005
Дата опубликования: 21.07.2020
Страница №22 из 29:
Увеличить