Приказ администрации Краснодарского края от 28.05.2020 № 199-КН
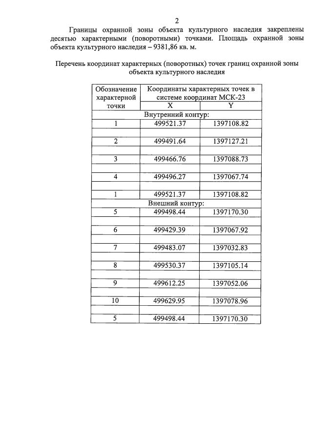
"Об утверждении границ и режима использования территории, а также зон охраны, режимов использования земель и требований к градостроительным регламентам в границах территорий данных зон объекта культурного наследия регионального значения "Дом жилой", Краснодарский край, Динской район, ст-ца Динская, ул. Красная, 99, лит. А, а также о признании утратившим силу приказа администрации Краснодарского края от 14 ноября 2019 г. № 203-кн "Об утверждении границ и режима использования территории, а также зон охраны, режимов использования земель и требований к градостроительным регламентам в границах территорий данных зон объекта культурного наследия регионального значения "Дом жилой", Краснодарский край, Динской район, ст-ца Динская, ул. Красная, 99, лит. А"
"Об утверждении границ и режима использования территории, а также зон охраны, режимов использования земель и требований к градостроительным регламентам в границах территорий данных зон объекта культурного наследия регионального значения "Дом жилой", Краснодарский край, Динской район, ст-ца Динская, ул. Красная, 99, лит. А, а также о признании утратившим силу приказа администрации Краснодарского края от 14 ноября 2019 г. № 203-кн "Об утверждении границ и режима использования территории, а также зон охраны, режимов использования земель и требований к градостроительным регламентам в границах территорий данных зон объекта культурного наследия регионального значения "Дом жилой", Краснодарский край, Динской район, ст-ца Динская, ул. Красная, 99, лит. А"
Номер опубликования: 2301202006040003
Дата опубликования:
04.06.2020
