Официальное опубликование правовых актов
ОФИЦИАЛЬНОЕ ОПУБЛИКОВАНИЕ
Приказ министерства природных ресурсов Краснодарского края от 07.04.2020 № 482
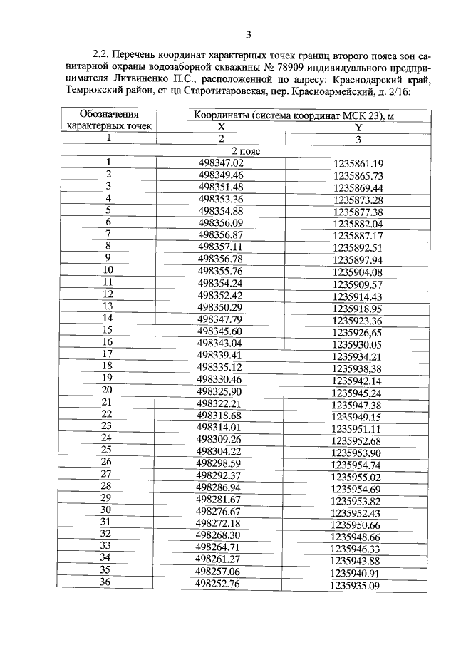
"Об установлении зон санитарной охраны источника питьевого и хозяйственно-бытового водоснабжения индивидуального предпринимателя Литвиненко П.С. в муниципальном образовании Темрюкский район"
Номер опубликования: 2301202004130003
Дата опубликования: 13.04.2020
Страница №5 из 12:
Увеличить