Официальное опубликование правовых актов
ОФИЦИАЛЬНОЕ ОПУБЛИКОВАНИЕ
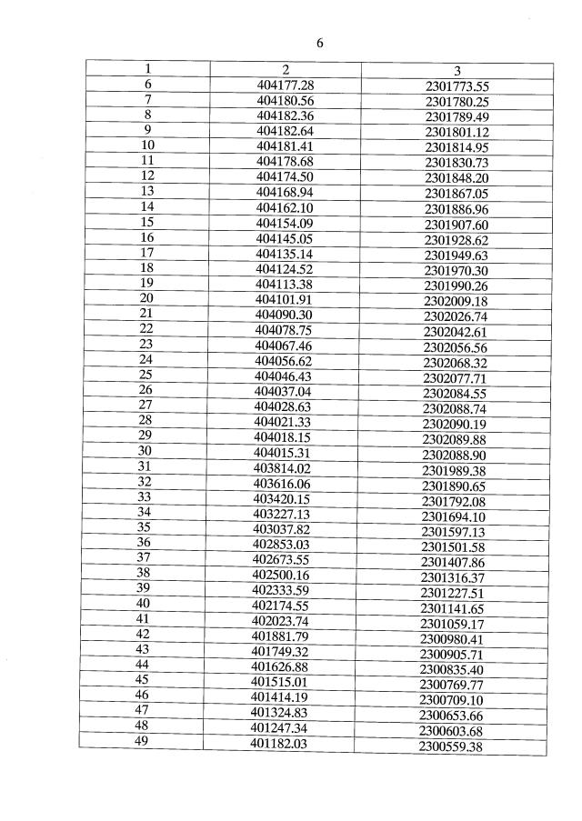
Приказ министерства природных ресурсов Краснодарского края от 07.04.2020 № 483
"Об установлении зон санитарной охраны источника питьевого и хозяйственно-бытового водоснабжения муниципального казенного учреждения детский стационарный оздоровительный (профильный) лагерь "Мечта" в муниципальном образовании Лабинский район"
Номер опубликования: 2301202004130002
Дата опубликования: 13.04.2020
Страница №8 из 12:
Увеличить