Официальное опубликование правовых актов
ОФИЦИАЛЬНОЕ ОПУБЛИКОВАНИЕ
Приказ администрации Краснодарского края от 17.12.2019 № 226-КН
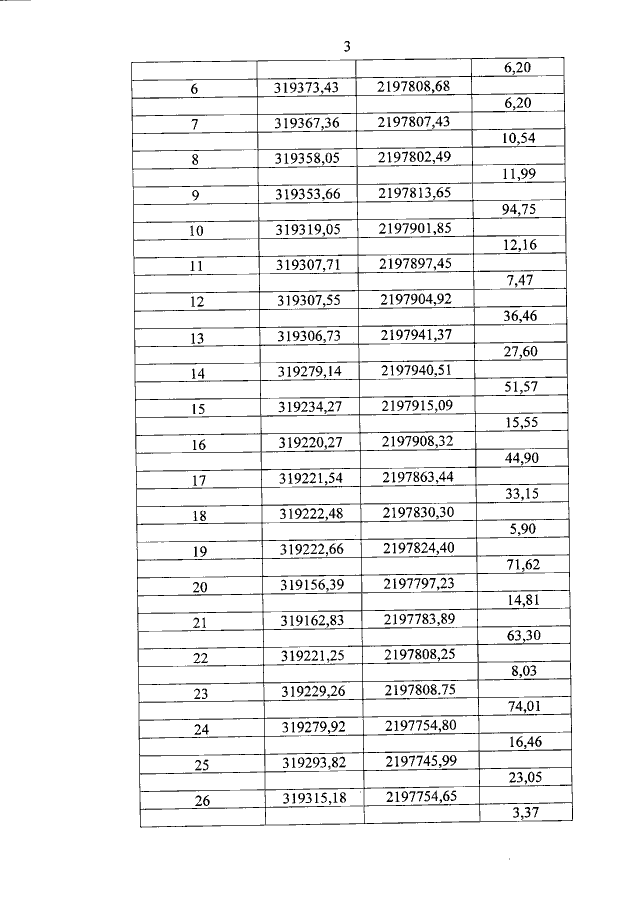
"Об утверждении границ и режима использования территории, а также зон охраны, режимов использования земель и требований к градостроительным регламентам в границах территорий данных зон объекта культурного наследия регионального значения "Санаторий им. Кирова, где в годы Великой Отечественной войны размещались госпитали № 3206, 3183", 1941 - 1945 годы, расположенного по адресу: Краснодарский край, г. Сочи, Центральный район, ул. Виноградная, 14 и признании утратившим силу приказа администрации Краснодарского края от 17 мая 2019 г. № 70-кн "Об утверждении границ и режима использования территории объекта культурного наследия регионального значения "Санаторий им. Кирова, где в годы Великой Отечественной войны размещались госпитали № 3206, 3183", 1941 - 1945 годы, Краснодарский край, г. Сочи, Центральный район, ул. Виноградная, 14"
Номер опубликования: 2301201912230002
Дата опубликования: 23.12.2019
Страница №6 из 23:
Увеличить