Официальное опубликование правовых актов
ОФИЦИАЛЬНОЕ ОПУБЛИКОВАНИЕ
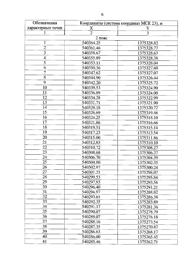
Приказ министерства природных ресурсов Краснодарского края от 13.11.2019 № 2170
"Об установлении зон санитарной охраны источников питьевого и хозяйственно-бытового водоснабжения открытого акционерного общества тепличный комбинат "Прогресс" в муниципальном образовании Тимашевский район"
Номер опубликования: 2301201911200004
Дата опубликования: 20.11.2019
Страница №8 из 21:
Увеличить