Официальное опубликование правовых актов
ОФИЦИАЛЬНОЕ ОПУБЛИКОВАНИЕ
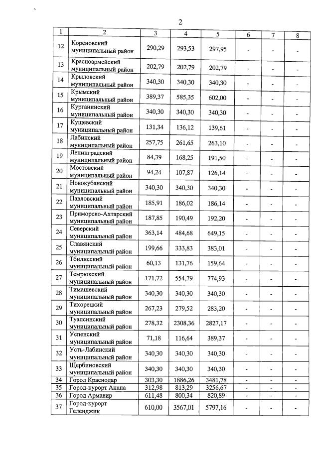
Приказ департамента имущественных отношений Краснодарского края от 28.10.2019 № 2273
"Об утверждении обобщенных значений удельных показателей кадастровой стоимости земельных участков, расположенных в границах садоводческих и дачных объединений в разрезе муниципальных районов (городских округов) в составе земель сельскохозяйственного назначения на территории Краснодарского края"
Номер опубликования: 2301201911060001
Дата опубликования: 06.11.2019
Страница №4 из 5:
Увеличить