Официальное опубликование правовых актов
ОФИЦИАЛЬНОЕ ОПУБЛИКОВАНИЕ
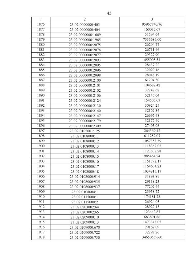
Приказ департамента имущественных отношений Краснодарского края от 04.10.2019 № 2093
"Об утверждении результатов определения кадастровой стоимости земельных участков из состава земель промышленности, энергетики, транспорта, связи, радиовещания, телевидения, информатики, земель для обеспечения космической деятельности, земель обороны, безопасности и земель иного специального назначения на территории Краснодарского края"
Номер опубликования: 2301201910110005
Дата опубликования: 11.10.2019
Страница №47 из 444:
Увеличить