Официальное опубликование правовых актов
ОФИЦИАЛЬНОЕ ОПУБЛИКОВАНИЕ
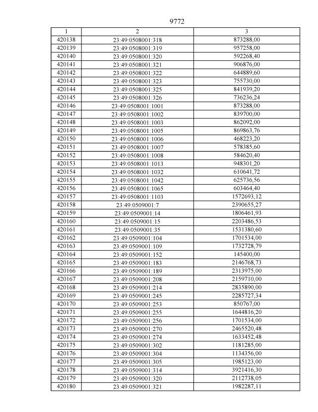
Приказ департамента имущественных отношений Краснодарского края от 04.10.2019 № 2092
"Об утверждении результатов определения кадастровой стоимости земельных участков из состава земель сельскохозяйственного назначения на территории Краснодарского края"
Номер опубликования: 2301201910100006
Дата опубликования: 10.10.2019
Страница №9774 из 9807:
Увеличить