Официальное опубликование правовых актов
ОФИЦИАЛЬНОЕ ОПУБЛИКОВАНИЕ
Приказ администрации Краснодарского края от 23.08.2019 № 150-КН
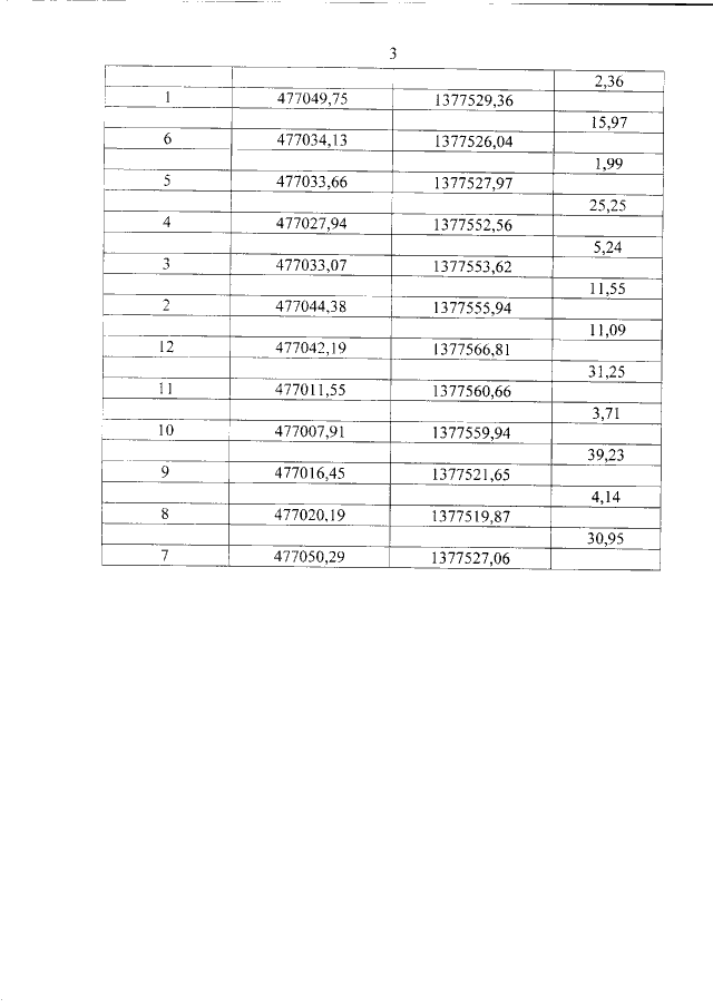
"Об утверждении границ и режима использования территории, а также зон охраны и требований к градостроительным регламентам в границах территорий указанных зон объекта культурного наследия регионального значения "Дом жилой", конец ХIХ в., Краснодарский край, г. Краснодар, угол ул. Октябрьской, 60 и ул. им. Орджоникидзе, 27, лит. Б"
Номер опубликования: 2301201908300008
Дата опубликования: 30.08.2019
Страница №10 из 22:
Увеличить