Официальное опубликование правовых актов
ОФИЦИАЛЬНОЕ ОПУБЛИКОВАНИЕ
Приказ администрации Краснодарского края от 05.08.2019 № 126-КН
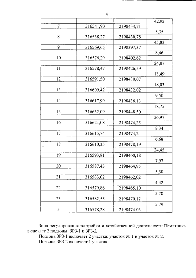
"Об утверждении границ и режима использования территории, а также зон охраны и требований к градостроительным регламентам в границах территорий указанных зон объекта культурного наследия регионального значения "Дом, в котором жил первый городской врач, революционер А.Л. Гордон", 1917 г., Краснодарский край, г. Сочи, Центральный район, ул. Приморская, 4"
Номер опубликования: 2301201908120003
Дата опубликования: 12.08.2019
Страница №10 из 26:
Увеличить