Официальное опубликование правовых актов
ОФИЦИАЛЬНОЕ ОПУБЛИКОВАНИЕ
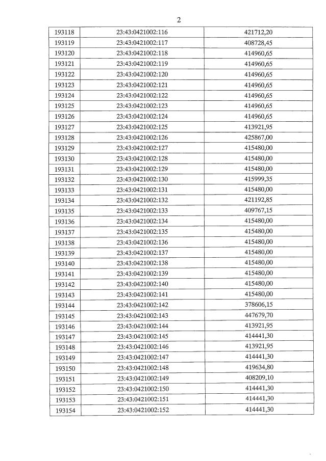
Приказ департамента имущественных отношений Краснодарского края от 22.07.2019 № 1401
"О внесении изменений в приказ департамента имущественных отношений Краснодарского края от 27 ноября 2015 г. № 1609 "Об утверждении результатов государственной кадастровой оценки земель сельскохозяйственного назначения на территории Краснодарского края"
Номер опубликования: 2301201907290007
Дата опубликования: 29.07.2019
Страница №4 из 18:
Увеличить