Официальное опубликование правовых актов
ОФИЦИАЛЬНОЕ ОПУБЛИКОВАНИЕ
Приказ администрации Краснодарского края от 16.07.2019 № 105-КН
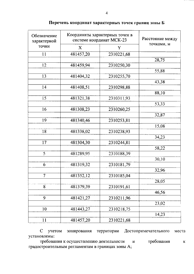
"Об утверждении границ и режима использования территории объекта культурного наследия регионального значения "Памятный знак в честь посещения военного госпиталя хирургом Н.И. Пироговым", 1969 г., Краснодарский край, Новокубанский район, ст-ца Прочноокопская, ул. Пирогова, 1, а также границ территории и требований к осуществлению деятельности и градостроительным регламентам в границах территории объекта культурного наследия регионального значения "Памятное место - территория Прочноокопского госпиталя, который посетил выдающийся русский хирург Н.И. Пирогов", 1847 год, Краснодарский край, Новокубанский район, ст-ца Прочноокопская, ул. Пирогова, 1"
Номер опубликования: 2301201907230002
Дата опубликования: 23.07.2019
Страница №14 из 17:
Увеличить