Официальное опубликование правовых актов
ОФИЦИАЛЬНОЕ ОПУБЛИКОВАНИЕ
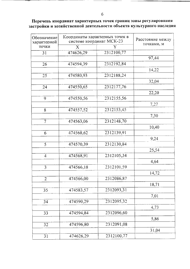
Приказ администрации Краснодарского края от 11.07.2019 № 102-КН
"Об утверждении границ и режима использования территории, а также зон охраны и требований к градостроительным регламентам в границах территорий указанных зон объекта культурного наследия регионального значения "Успенская армяно-григорианская церковь", 1861 г., Краснодарский край, г. Армавир, ул. Кирова, д. 7"
Номер опубликования: 2301201907180002
Дата опубликования: 18.07.2019
Страница №14 из 26:
Увеличить