Официальное опубликование правовых актов
ОФИЦИАЛЬНОЕ ОПУБЛИКОВАНИЕ
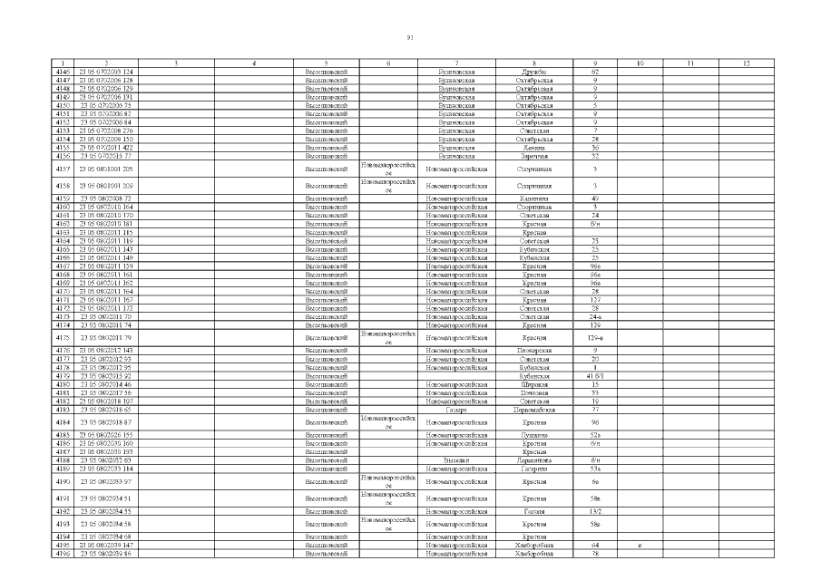
Приказ департамента имущественных отношений Краснодарского края от 26.12.2018 № 3043
"Об утверждении перечня объектов недвижимого имущества, указанных в подпунктах 1 и 2 пункта 1 статьи 378-2 Налогового кодекса Российской Федерации, в отношении которых налоговая база определяется как кадастровая стоимость"
Номер опубликования: 2301201812280003
Дата опубликования: 28.12.2018
Страница №93 из 1793:
Увеличить