Официальное опубликование правовых актов
ОФИЦИАЛЬНОЕ ОПУБЛИКОВАНИЕ
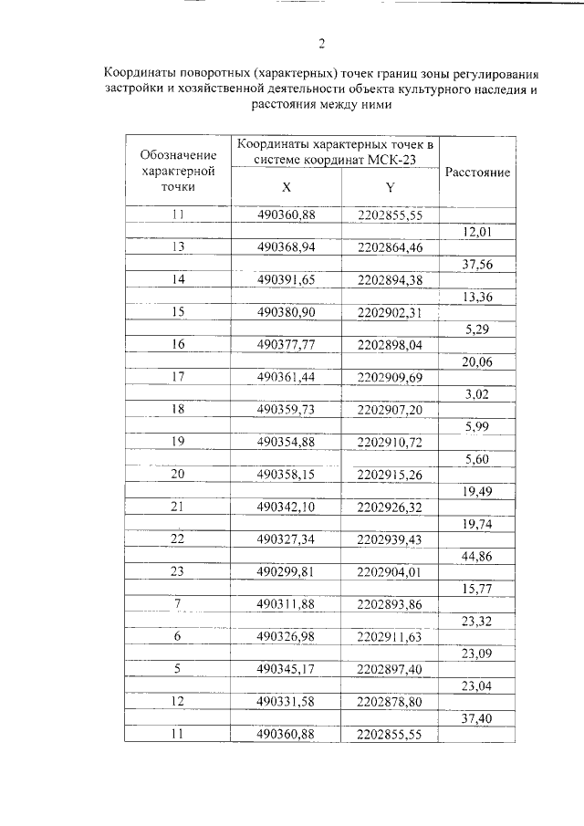
Приказ администрации Краснодарского края от 12.12.2018 № 306-КН
"Об утверждении границ территории и зон охраны объекта культурного наследия регионального значения "Дом, в котором жил один из руководителей восстания 2-го Урупского полка К.В. Волкогонов", 1905 г. Краснодарский край, Усть-Лабинский район, ст-ца Некрасовская, ул. Первомайская, 29 (уточненный адрес: Краснодарский край, Усть-Лабинский район, ст-ца Некрасовская, ул. Первомайская, 29, лит. А)"
Номер опубликования: 2301201812190004
Дата опубликования: 19.12.2018
Страница №17 из 31:
Увеличить