Официальное опубликование правовых актов
ОФИЦИАЛЬНОЕ ОПУБЛИКОВАНИЕ
Приказ министерства труда и социального развития Краснодарского края от 17.10.2018 № 1561
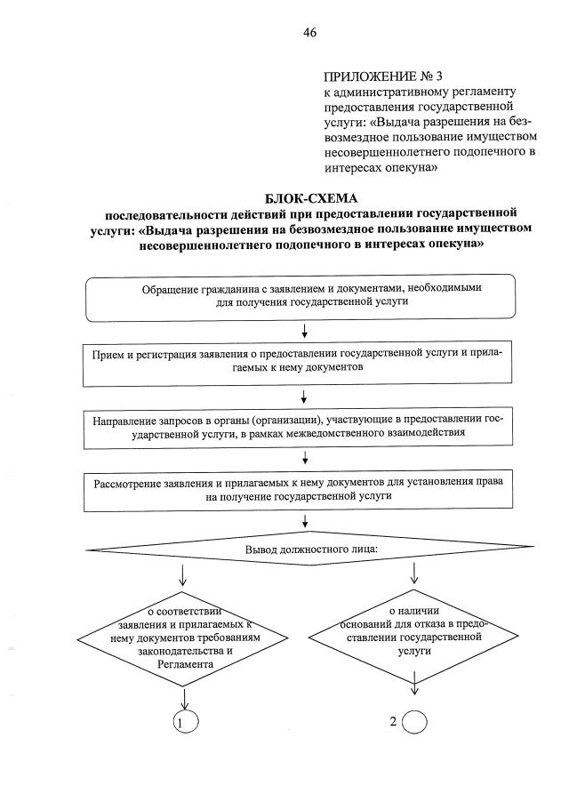
"О внесении изменений в приказ министерства социального развития и семейной политики Краснодарского края от 23 декабря 2015 года № 1432 "Об утверждении административного регламента предоставления государственной услуги: "Выдача разрешения на безвозмездное пользование имуществом несовершеннолетнего подопечного в интересах опекуна"
Номер опубликования: 2301201810260003
Дата опубликования: 26.10.2018
Страница №48 из 51:
Увеличить