Официальное опубликование правовых актов
ОФИЦИАЛЬНОЕ ОПУБЛИКОВАНИЕ
Приказ администрации Краснодарского края от 02.03.2018 № 60-КН
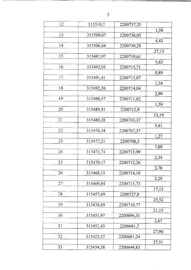
"Об утверждении предмета охраны, границ территории и зон охраны объекта культурного наследия регионального значения "Здание, где размещался штаб 20-й горно-стрелковой дивизии, оборонявшей горные перевалы Западного Кавказа на дальних подступах к г. Сочи", 1942 г., Краснодарский край, г. Сочи, Хостинский район, ул. Бытха, 1 (уточненный адрес: Краснодарский край, г. Сочи, Хостинский район, ул. Бытха, 1, литер А)"
Номер опубликования: 2301201803060003
Дата опубликования: 06.03.2018
Страница №16 из 32:
Увеличить