Официальное опубликование правовых актов
ОФИЦИАЛЬНОЕ ОПУБЛИКОВАНИЕ
Постановление Губернатора Краснодарского края от 09.02.2026 № 43
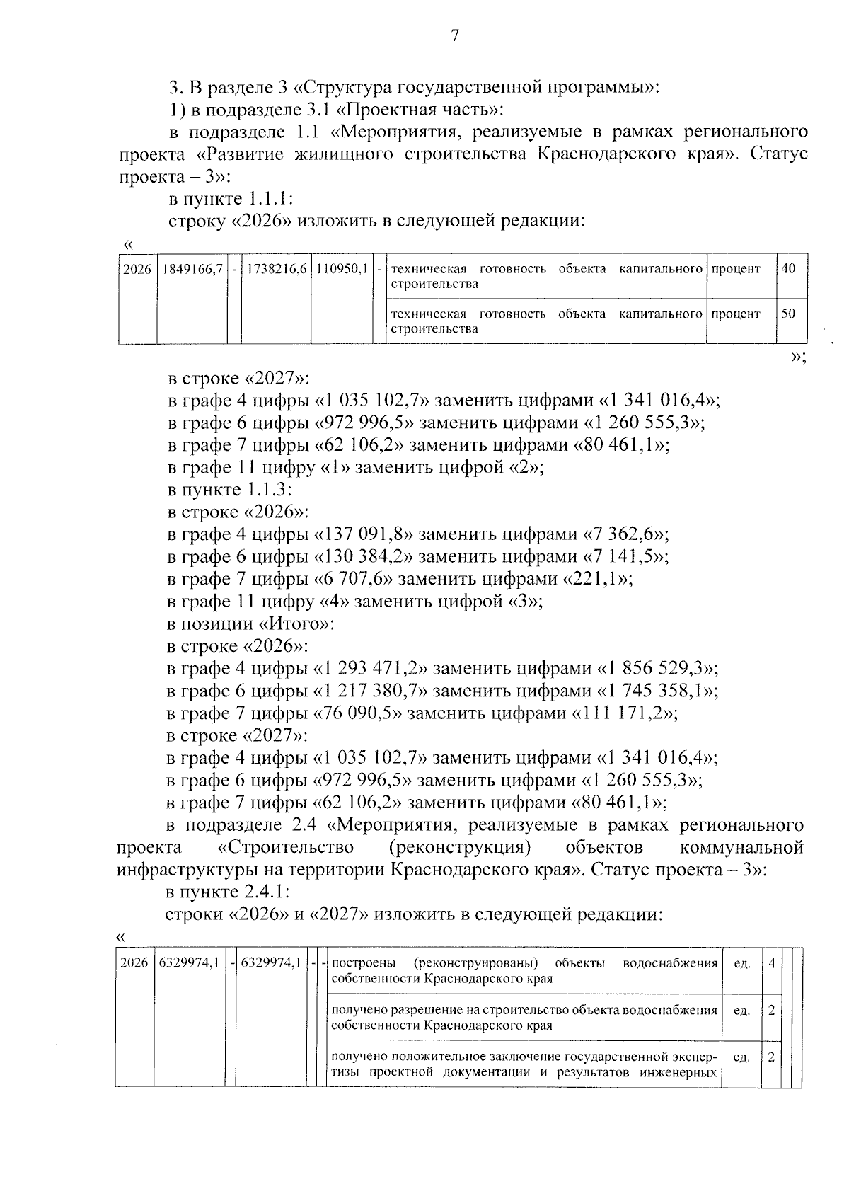
"О внесении изменений в постановление главы администрации (губернатора) Краснодарского края от 16 ноября 2015 г. № 1038 "Об утверждении государственной программы Краснодарского края "Комплексное и устойчивое развитие Краснодарского края в сфере строительства и архитектуры"
Номер опубликования: 2300202602160001
Дата опубликования: 16.02.2026
Страница №8 из 11:
Увеличить