Официальное опубликование правовых актов
ОФИЦИАЛЬНОЕ ОПУБЛИКОВАНИЕ
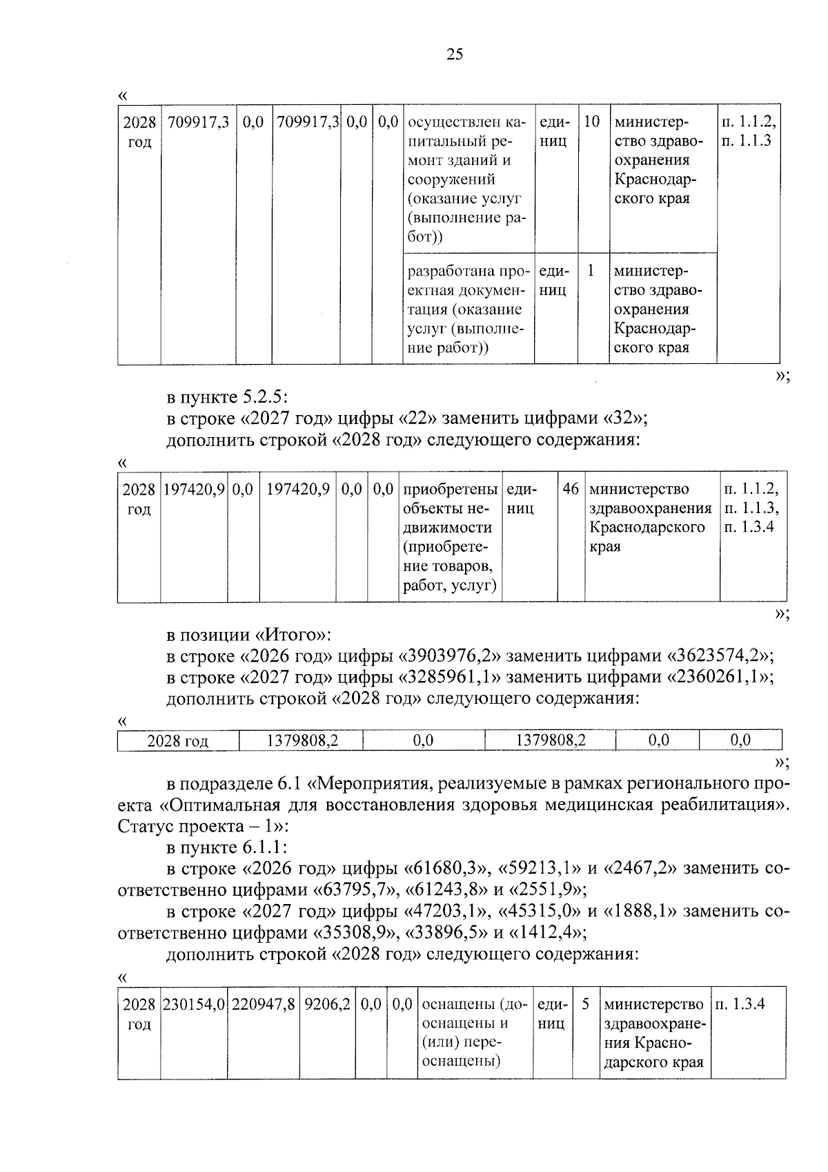
Постановление Губернатора Краснодарского края от 29.01.2026 № 21
"О внесении изменений в постановление главы администрации (губернатора) Краснодарского края от 12 октября 2015 г. № 966 "Об утверждении государственной программы Краснодарского края "Развитие здравоохранения"
Номер опубликования: 2300202602040019
Дата опубликования: 04.02.2026
Страница №26 из 66:
Увеличить