Официальное опубликование правовых актов
ОФИЦИАЛЬНОЕ ОПУБЛИКОВАНИЕ
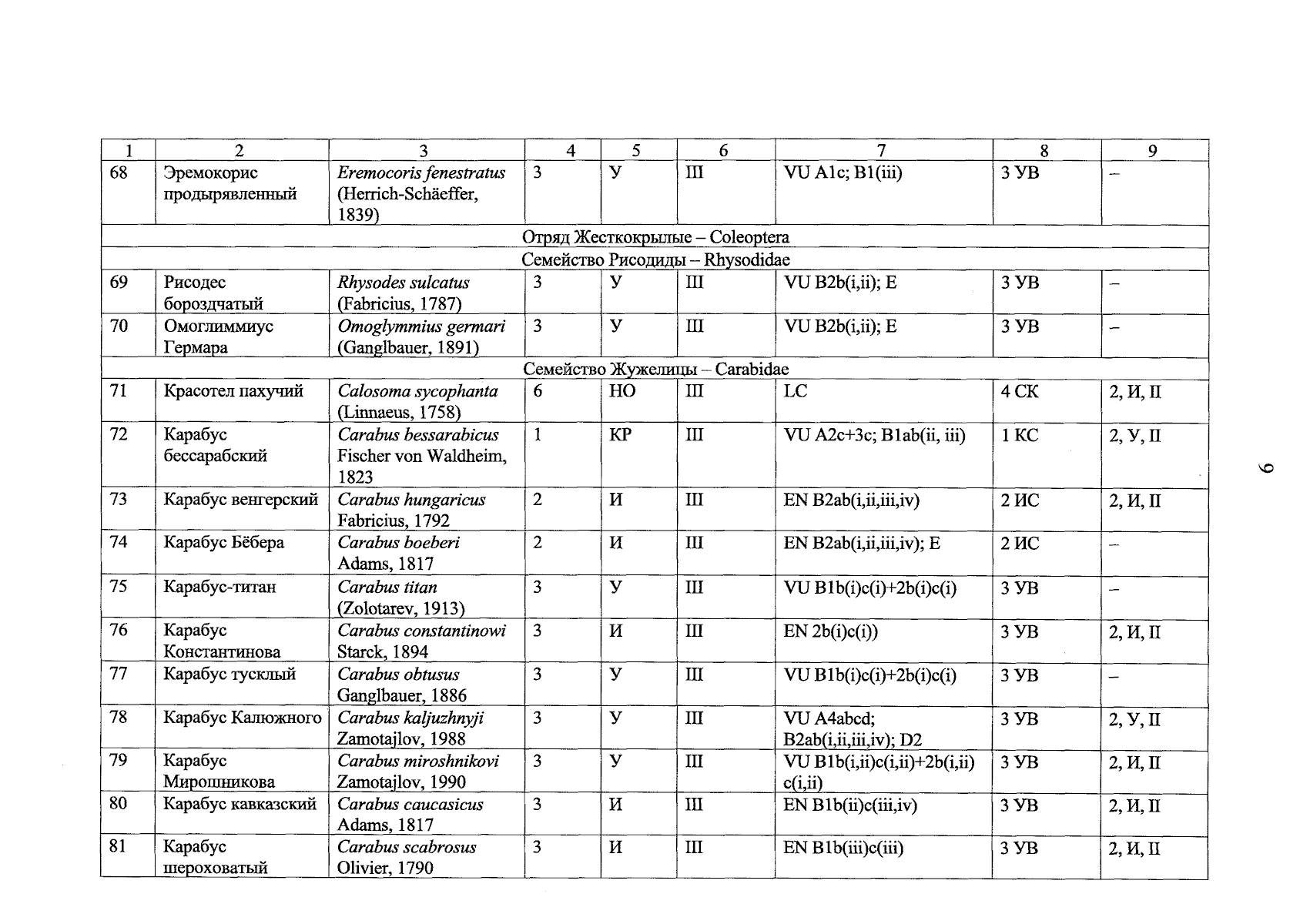
Постановление Губернатора Краснодарского края от 07.11.2025 № 696
"Об утверждении Перечня таксонов животных, занесенных в Красную книгу Краснодарского края, Перечня таксонов животных, исключенных из Красной книги Краснодарского края, Перечня таксонов животных, требующих особого внимания к их состоянию в природной среде Краснодарского края"
Номер опубликования: 2300202511120006
Дата опубликования: 12.11.2025
Страница №11 из 66:
Увеличить