Официальное опубликование правовых актов
ОФИЦИАЛЬНОЕ ОПУБЛИКОВАНИЕ
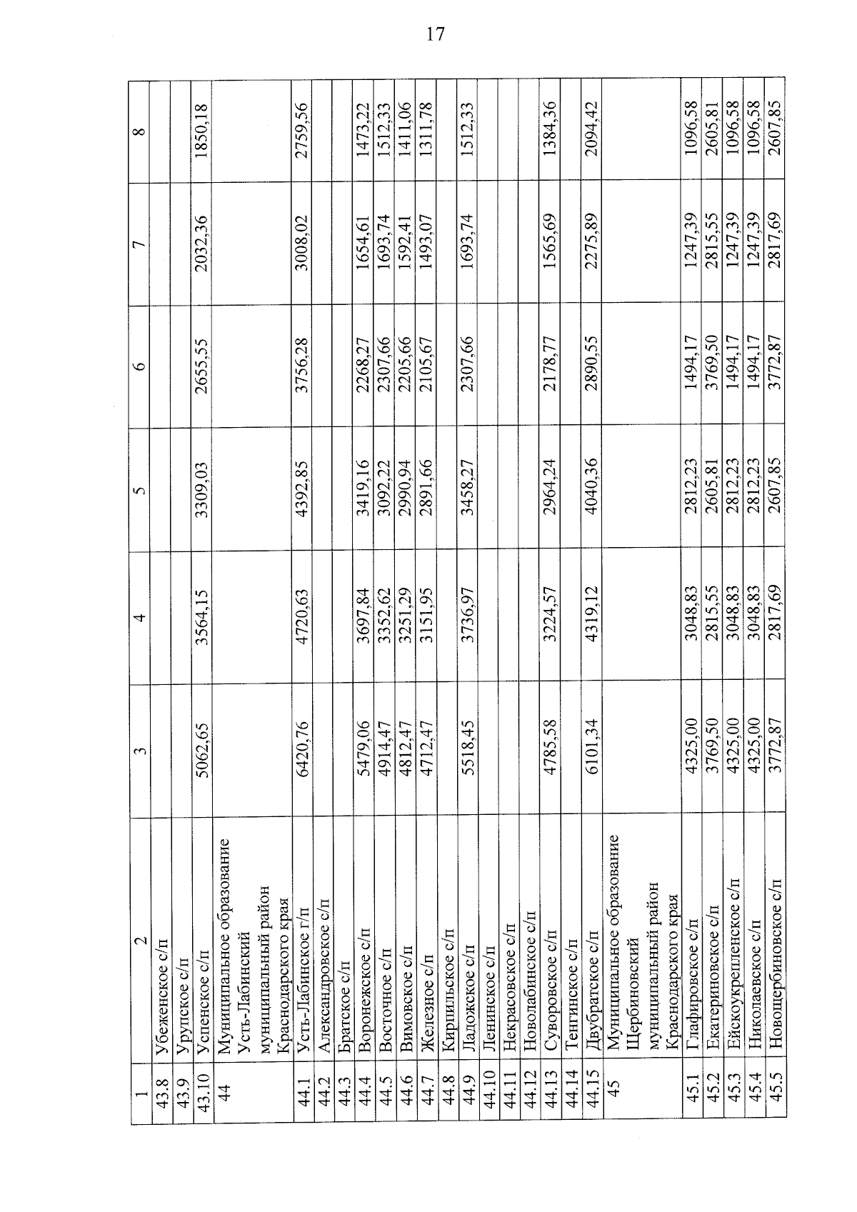
Постановление Губернатора Краснодарского края от 27.11.2024 № 826
"Об установлении размера региональных стандартов стоимости жилищно-коммунальных услуг в Краснодарском крае на 2025 год"
Номер опубликования: 2300202412040018
Дата опубликования: 04.12.2024
Страница №35 из 72:
Увеличить