Официальное опубликование правовых актов
ОФИЦИАЛЬНОЕ ОПУБЛИКОВАНИЕ
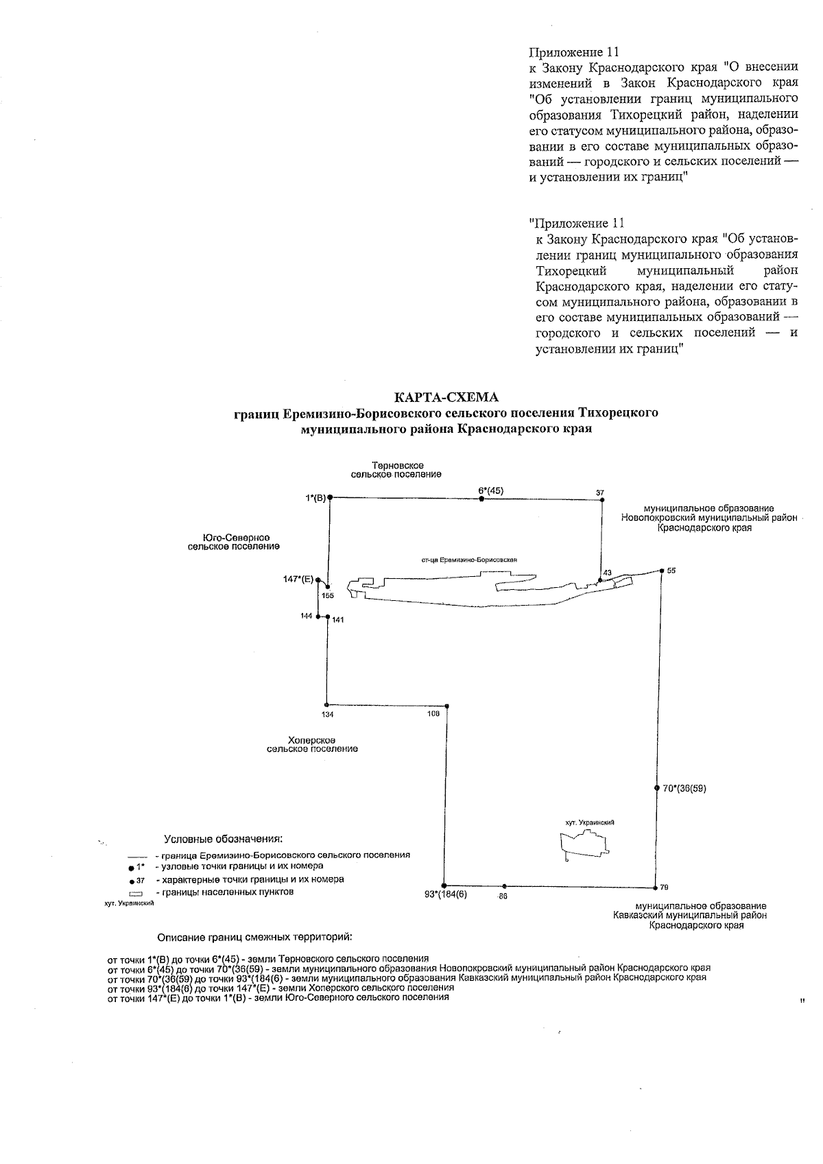
Закон Краснодарского края от 06.11.2024 № 5244-КЗ
"О внесении изменений в Закон Краснодарского края "Об установлении границ муниципального образования Тихорецкий район, наделении его статусом муниципального района, образовании в его составе муниципальных образований — городского и сельских поселений — и установлении их границ"
Номер опубликования: 2300202411120027
Дата опубликования: 12.11.2024
Страница №44 из 88:
Увеличить