Официальное опубликование правовых актов
ОФИЦИАЛЬНОЕ ОПУБЛИКОВАНИЕ
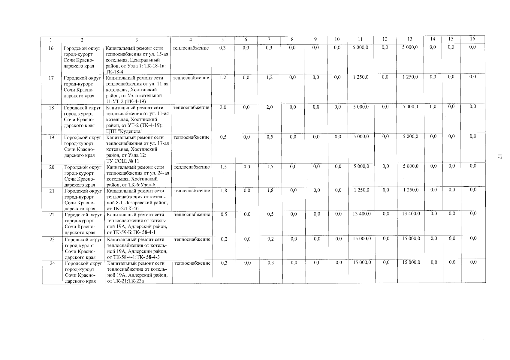
Постановление Губернатора Краснодарского края от 16.11.2023 № 919
"О внесении изменений в постановление Губернатора Краснодарского края от 12 мая 2023 г. № 252 "06 утверждении региональной программы Краснодарского края "Модернизация систем коммунальной инфраструктуры Краснодарского края"
Номер опубликования: 2300202311200001
Дата опубликования: 20.11.2023
Страница №18 из 22:
Увеличить